这是根据词语表更新的,有些地方课本可能有些不同,请参考使用。
三年级相对于一二年级来说,词汇量明显增加,一个个生字对同学们来说可能很简单,一旦组成了词语,就变成了新词,不仅要会读会写,更要考虑这个词组有几个读音,每个读音所蕴含的意思,
比如散发(sàn fà)指的是:披散着头发;散发(sàn fā)指的是:分散发出的某种物质。不仅如此同学们还得多注意成语中的多音字,比如果实累累(léi),窗明几(jī)净,张牙舞爪(zhǎo)等等,这些都是极易出错的。
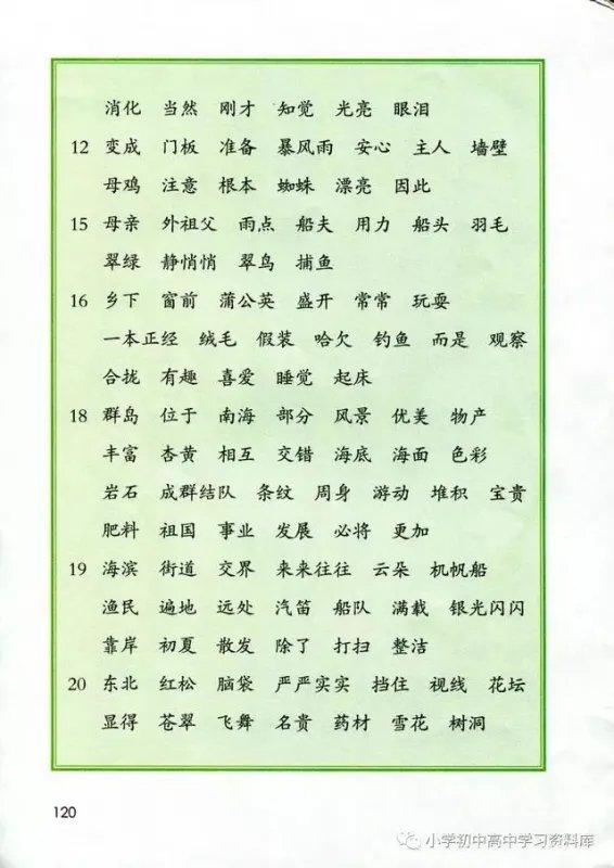
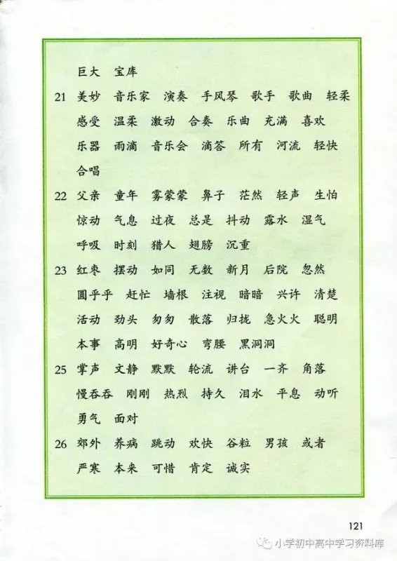
同学们只有注重拼读及词语的积累,才能为以后的学习打下夯实的基础,希望整理的这份看拼音写词语能帮到大家。



三年级学习语文的特点
1. 具备独立识字写字的能力
一二年级的语文学习重点是识字,经过了两年的识字方法、兴趣、能力的培养,孩子已经具备了较强的识字能力。所以,家长要让孩子独立阅读,根据现有汉字储备认识更多的字。同时,在课下可以抽出十几分钟的时间给孩子听写,长此以往,孩子的识字写字能力会急速进步。
2. 进入大量积累词汇的时期
三年级积累的关键仍然是词语,大量的词语积累是孩子将来语言表达的根基材料。词语积累首先来源于课文,在课文基础上积累词语,属于理解性积累,记起来容易而且记牢。其次,家长要鼓励孩子多阅读,掌握课外词汇。
