!在数学里是阶乘符号。一个正整数的阶乘是所有小于及等于该数的正整数的积,并且有0的阶乘为1。
亦即n!=1×2×3×...×n。阶乘亦可以递归方式定义:0!=1,n!=(n-1)!×n。
阶乘亦可定义于整个实数(负整数除外),其与伽玛函数的关系为:
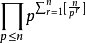
n!可质因子分解为,如6!=24×32×51。

扩展资料
阶乘函数:
一个正整数的阶乘(英语:factorial)是所有小于及等于该数的正整数的积,并且有0的阶乘为1。自然数n的阶乘写作n!。1808年,基斯顿·卡曼引进这个表示法。

亦即n!=1×2×3×...×n。阶乘亦可以递归方式定义:0!=1,n!=(n-1)!×n。
阶乘亦可定义于整个实数(负整数除外),其与伽玛函数的关系为:

n!可质因子分解为
,如6!=2×3×5。
参考资料来源:百度百科-阶乘符号
参考资料来源:百度百科-阶乘函数
