1.纯水电阻率0.1×10^6Ω·cm(欧·厘米)(25℃,蒸馏水试验数据,理论上纯水不导电);
2.超纯水电阻率10MΩ*cm(25℃)。电阻率在工作温度25℃时,最高理论值能达到18.3MΩ•cm。实际超纯水设备产水在线测试最高值是18.2MΩ•cm。
3.纯化水电阻率≥0.5MΩ.CM(25摄氏度)。对于注射剂、滴眼液容器冲洗用的纯化水的电阻率应≥1MΩ.CM/25℃。

拓展资料
电阻率(resistivity)是用来表示各种物质电阻特性的物理量。
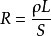
在温度一定的情况下,有公式

其中的ρ就是电阻率,L为材料的长度, S为面积。可以看出,材料的电阻大小与材料的长度成正比,即在材料和横截面积不变时,长度越长,材料电阻越大:而与材料横截面积成反比,即在材料和长度不变时,横截面积越大,电阻越小。
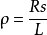
由上式可知电阻率的定义为:

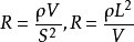
推导公式:

参考资料:百度百科-电阻率
