洞见十一

  • 网站首页
  • 百科知识
  • 百科问答
  • 生活百科
位置:首页> 生活百科>

董贞经常上的贞吧是什么吧,经常进的yy频道是什么,谁知知道

时间:2026-01-05 09:04:00 浏览:820次

董贞经常上的贞吧是什么吧,经常进的yy频道是什么,谁知知道

我找了下YY149089

๑۩۞۩๑ ♪『贞爱一生』歪歪频道欢迎各位榛子的到来๑۩۞۩๑ ♪

百度然后上YY把有关的频道踩了遍,望采纳

标签:董贞,yy,经常

相关文章

YY的月票怎么送给别人

YY的月票怎么送给别人

YY会员有什么用?

YY会员有什么用?

经常手麻怎么回事?提醒:小心是这5种疾病盯上你了

经常手麻怎么回事?提醒:小心是这5种疾病盯上你了

  • 1 经常用手抠鼻子会引发鼻息肉吗 848 阅读
  • 2 yy黑马怎么弄 845 阅读
  • 3 董贞的《问剑》歌词是什么意思 867 阅读
  • 4 经常便秘怎么办 如何治疗呢 864 阅读
  • 5 经常转动眼球有什么好处 825 阅读

热门文章

  • 关于爱情的唯美句子

    关于爱情的唯美句子

    11-15 948次
  • 黄花应笑关山客每岁登高在异乡是谁写的?

    黄花应笑关山客每岁登高在异乡是谁写的?

    11-18 945次
  • 以自信为话题的作文

    以自信为话题的作文

    11-14 943次
  • 壁灯一般装多高

    壁灯一般装多高

    11-17 942次
  • 余好最后和谁在一起

    余好最后和谁在一起

    11-16 941次
  • 直饮水设备一般价格

    直饮水设备一般价格"

    11-20 936次

推荐文章

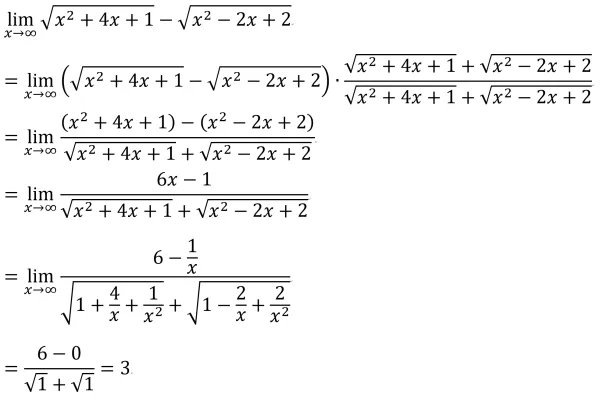
请问为什么不能这样求极限

请问为什么不能这样求极限

山东中医药大学2013年山东录取分数线(二本)

山东中医药大学2013年山东录取分数线(二本)

小说剑道独尊的修炼层次

小说剑道独尊的修炼层次

国内知名人工智能培训机构有哪些?

国内知名人工智能培训机构有哪些?

无畏契约LOL奖励在哪领取 无畏契约联动英雄联盟手游奖励领取入口

无畏契约LOL奖励在哪领取 无畏契约联动英雄联盟手游奖励领取入口

有关马的寓言故事

有关马的寓言故事

RADEON X300 Series这块显卡好不好?

RADEON X300 Series这块显卡好不好?

lol手游小鱼人皮肤手感排行

lol手游小鱼人皮肤手感排行

刘恺威的父母是毫无名气的普通人么?还是圈内人士?

刘恺威的父母是毫无名气的普通人么?还是圈内人士?

自体脂肪注射隆鼻效果如何

自体脂肪注射隆鼻效果如何

洞见十一,是专业的百科知识问答平台,涵盖常识、科学、历史、生活等全领域知识问答!提供精准答案解析,无论是学习提升还是日常解惑,都能快速找到所需知识!

CopyRight © 2025 网站地图 - 闽ICP备2025090153号-11 - 联系邮箱:1465333496@qq.com