[答案]D
[解析]∵点在椭圆的外部,∴,
![[2018·天津期中]设椭圆的左、右焦点分别为,,点在椭圆的外部,点是椭圆上的动点,满足恒成立,则椭圆离心率的取值范围是( )](/upload/sm/2025/1124/0d2d3a1e.jpg)
[解析]∵点在椭圆的外部,∴,
![[2018·天津期中]设椭圆的左、右焦点分别为,,点在椭圆的外部,点是椭圆上的动点,满足恒成立,则椭圆离心率的取值范围是( )](/upload/sm/2025/1124/1cf4bf45.jpg)
[解析]∵点在椭圆的外部,∴,
![[2018·天津期中]设椭圆的左、右焦点分别为,,点在椭圆的外部,点是椭圆上的动点,满足恒成立,则椭圆离心率的取值范围是( )](/upload/sm/2025/1124/57e846bd.jpg)
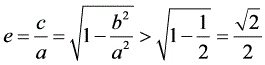
,
由椭圆的离心率,
![[2018·天津期中]设椭圆的左、右焦点分别为,,点在椭圆的外部,点是椭圆上的动点,满足恒成立,则椭圆离心率的取值范围是( )](/upload/sm/2025/1124/1a06608f.jpg)
由椭圆的离心率,
![[2018·天津期中]设椭圆的左、右焦点分别为,,点在椭圆的外部,点是椭圆上的动点,满足恒成立,则椭圆离心率的取值范围是( )](/upload/sm/2025/1124/302264d5.jpg)
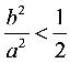
,又因为,且,
![[2018·天津期中]设椭圆的左、右焦点分别为,,点在椭圆的外部,点是椭圆上的动点,满足恒成立,则椭圆离心率的取值范围是( )](/upload/sm/2025/1124/4c452a39.jpg)
,又因为,且,
![[2018·天津期中]设椭圆的左、右焦点分别为,,点在椭圆的外部,点是椭圆上的动点,满足恒成立,则椭圆离心率的取值范围是( )](/upload/sm/2025/1124/18dd0b06.jpg)
,又因为,且,
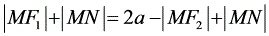
要恒成立,即,
![[2018·天津期中]设椭圆的左、右焦点分别为,,点在椭圆的外部,点是椭圆上的动点,满足恒成立,则椭圆离心率的取值范围是( )](/upload/sm/2025/1124/431d8eb2.jpg)
要恒成立,即,
![[2018·天津期中]设椭圆的左、右焦点分别为,,点在椭圆的外部,点是椭圆上的动点,满足恒成立,则椭圆离心率的取值范围是( )](/upload/sm/2025/1124/fc746beb.jpg)
要恒成立,即,
则椭圆离心率的取值范围是.故选D.
![[2018·天津期中]设椭圆的左、右焦点分别为,,点在椭圆的外部,点是椭圆上的动点,满足恒成立,则椭圆离心率的取值范围是( )](/upload/sm/2025/1124/8df3c0dc.jpg)
则椭圆离心率的取值范围是.故选D.
[答案]D
[解析]∵点在椭圆的外部,∴,
![[2018·天津期中]设椭圆的左、右焦点分别为,,点在椭圆的外部,点是椭圆上的动点,满足恒成立,则椭圆离心率的取值范围是( )](/upload/sm/2025/1124/0d2d3a1e.jpg)
[解析]∵点在椭圆的外部,∴,
![[2018·天津期中]设椭圆的左、右焦点分别为,,点在椭圆的外部,点是椭圆上的动点,满足恒成立,则椭圆离心率的取值范围是( )](/upload/sm/2025/1124/1cf4bf45.jpg)
[解析]∵点在椭圆的外部,∴,
![[2018·天津期中]设椭圆的左、右焦点分别为,,点在椭圆的外部,点是椭圆上的动点,满足恒成立,则椭圆离心率的取值范围是( )](/upload/sm/2025/1124/57e846bd.jpg)
,
由椭圆的离心率,
![[2018·天津期中]设椭圆的左、右焦点分别为,,点在椭圆的外部,点是椭圆上的动点,满足恒成立,则椭圆离心率的取值范围是( )](/upload/sm/2025/1124/1a06608f.jpg)
由椭圆的离心率,
![[2018·天津期中]设椭圆的左、右焦点分别为,,点在椭圆的外部,点是椭圆上的动点,满足恒成立,则椭圆离心率的取值范围是( )](/upload/sm/2025/1124/302264d5.jpg)
,又因为,且,
![[2018·天津期中]设椭圆的左、右焦点分别为,,点在椭圆的外部,点是椭圆上的动点,满足恒成立,则椭圆离心率的取值范围是( )](/upload/sm/2025/1124/4c452a39.jpg)
,又因为,且,
![[2018·天津期中]设椭圆的左、右焦点分别为,,点在椭圆的外部,点是椭圆上的动点,满足恒成立,则椭圆离心率的取值范围是( )](/upload/sm/2025/1124/18dd0b06.jpg)
,又因为,且,
要恒成立,即,
![[2018·天津期中]设椭圆的左、右焦点分别为,,点在椭圆的外部,点是椭圆上的动点,满足恒成立,则椭圆离心率的取值范围是( )](/upload/sm/2025/1124/431d8eb2.jpg)
要恒成立,即,
![[2018·天津期中]设椭圆的左、右焦点分别为,,点在椭圆的外部,点是椭圆上的动点,满足恒成立,则椭圆离心率的取值范围是( )](/upload/sm/2025/1124/fc746beb.jpg)
要恒成立,即,
则椭圆离心率的取值范围是.故选D.
![[2018·天津期中]设椭圆的左、右焦点分别为,,点在椭圆的外部,点是椭圆上的动点,满足恒成立,则椭圆离心率的取值范围是( )](/upload/sm/2025/1124/8df3c0dc.jpg)
则椭圆离心率的取值范围是.故选D.