[答案](1)δ=60° (2)

[解析](ⅰ)光线在BC面上折射,由折射定律有

(i)光线在BC面上折射,由折射定律有

① ①
式中,

为棱镜的折射率,

和

分别是该光线在BC面上的入射角和折射角。光线在AC面上发生全反射,由反射定律有

②
式中

和

分别是该光线在AC面上的入射角和反射角。光线在AB面上发生折射,由折射定律有

③
式中

和

分别是该光线在AB面上的入射角和折射角。
由几何关系得

,

④
F点的出射光相对于D点的入射光的偏角为

⑤
由①②③④⑤式得

⑥
(ii)光线在AC面上发生全反射,光线在AB面上不发生全反射,有

≥

⑦
式中

是全反射临界角,满足

⑧
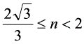
由④⑦⑧式知,棱镜的折射率n的取值范围应为

⑨
点睛:本题考查了几何光学,处理此类题的方法一般是正确画光路图利用几何关系求偏角,还要知道全发射的条件是什么。
