需要通过公式计算,比热的计算公式一般为

Q吸=cm(t-to)Q放=cm(to-t)
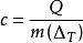
c表示比热
m表示物体的质量
to表示物体的初温
t表示物体的末温
(△t:物体变化温度,即t-t0)
这是用来计算物体温度升高时的公式。若物体降低时,则是用物体的初温度减去末温度。
比热容的计算公式也写作


扩展资料
钢铁作用:
钢铁在工程技术中最重要、也是最主要的,用量最大的金属材料。
1、用于建筑、桥梁、船舶、锅炉或其他工程上制作金属结构件。
2、制造各种工具,如碳素工具钢、合金工具钢、高速工具钢等。
3、制造不锈耐酸钢、耐热不起皮钢、高电阻合金、耐磨钢、磁钢等。
4、钢铁在近代的石油化学工业﹑海洋开发等方面﹐也得到大量使用。
参考资料来源:百度百科-比热容
