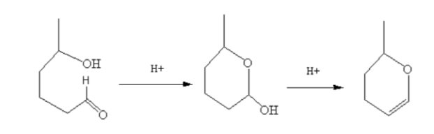
5-羟基己醛在干燥氯化氢存在下发生半缩醛化学反应,主要产物如下图:

半缩醛化学反应首先是羰基和催化剂氢离子形成𨦡盐,增加羰基碳原子的亲电性,然后和一分子醇发生加成,失去氢离子后,产生不稳定的半缩醛。上述一切过程都是可逆反应,半缩醛在酸性和碱性溶液中都是不稳定的。
扩展资料:
半缩醛通常是不稳定的化合物,但成环的半缩醛有一定稳定性,尤其是五六元环,这种情况是因为分子内OH基团与羰基反应,葡萄糖和许多其他的醛糖就是一种环状半缩醛。
半缩醛的合成途径有醇和醛之间的亲核加成;醇和共振稳定的半缩醛阳离子的亲核加成;缩醛的部分水解。
